談 雙軌天車道梁設計要點
陳正平 技師
一、 前言
雙軌天車幾乎是毎一棟廠房必備的設備,不論是吊裝廠内機具設備,或維修更換生產設備或拆解設備之零件,或生産過程中搬運原料、運輸產品、吊運或翻轉構件以方便施工等,均須使用雙軌或單軌天車。雙軌天車道梁設計與施工,須考量運轉所需淨空、施工誤差、使用頻率,以及疲勞等問題。雙軌天車設計資料,較不常見,筆者試將設計應考慮事項整理,供工程師參考,不當之處,尚請工程先進不吝指正。
二、具雙軌天車廠房之分類
鋼鐵工程師協會(Association of Iron and Steel Engineers),在其技術報告13(Technical Report No. 13 (AISE, 2003)),將具有天車設備之廠房,分為A、B、C及D四類:
A類:在預估廠房50年使用年限內,構件承受反復載重50萬至200萬次或更多者。
B類:在預估廠房50年使用年限內,構件承受特定反復載重10萬至50萬次,或每天承受此特定反復載重5至25次。
C類:在預估廠房50年使用年限內,構件承受特定反復載重2萬至10萬次,或每天承受此特定反復載重1至5次。
D類:在預估廠房使用年限內,構件承受特定反復載重2萬次以下。
三、天車起重設備分類
起重機服務分類,是依據實際作業條件載重頻率來區分,美國起重機製造業公會CMAA 70起重機分類建立服務等級,以供選用最經濟起重機。起重機依其最大吊重作業狀況,區分如下:
A類(備用或不常使用型):此類起重機,可能只是用在設備安裝時,以很慢速度精確的吊裝設備,諸如發電機房、公共設施、渦輪機室、馬達室和變電站。安裝之後到下次使用時,有長時間的閒置。額定負載的荷重,只用在設備的最初安裝時,以及之後不常發生的維修。
B類(輕度使用型):此類起重機,可能用在維修廠、輕組裝作業場和小型倉儲等,使用輕型及慢速起重機,荷載偶爾用到額定負載,每小時吊掛2到5次,平均揚程3 m。
C類(中度使用型):此類起重機,可能用在機器工廠、造紙廠機器房等,需用中型起重機,平均荷重為50%額定負載,每小時吊掛5到10次,平均揚程4.5m,滿載(額定負載)吊掛次數不超過一半。
D類(重度使用型):此類起重機,可能用在重機器廠、鑄造廠、組裝廠、鋼鐵庫房、貨櫃場及木材廠等,使用標準負載的吊桶和磁鐵吸盤,進行大量吊運。在工作期間,其荷載經常接近50%額定負載,須快速吊運,每小時吊掛10到20次,平均揚程4.5m,滿載吊掛次數不超過65%。
E類(極重度使用型):此類起重機,在其整個生命週期中,均須吊掛接近額定負載的重物,如用在廢鋼廠、水泥廠、木材廠、化肥廠、貨櫃場等的磁吸盤/吊桶組合起重機。每小時以額定負載或接近額定負載吊運20次。
F類(持續極重度使用型):此類起重機,在其整個生命週期中,須在嚴峻的工作條件下,以接近額定負載持續吊運。屬特製專業起重機,用來執行對總生產功能有關鍵影響的任務。這些起重機,必須有最高的可靠性,並須有易於維護的特性。
四、雙軌天車道梁設計要點
4.1天車規格選用
選用天車規格時,須考慮常用吊重範圍及天車吊重能力,除主鉤外,亦可另配備副鉤,以方便吊運較輕物品時,可利用副鉤操作較方便省電,但主、副鉤,不合併使用。另一考量重點為,須規劃物品吊運時所需之揚程及天車行走等所需之操作淨空,以便配置最經濟之廠房空間及選用有效之天車規格。太高之淨高,除會增加地震彎矩外,亦會增加受風面積,結構工程造價會增加。
4.2天車道梁與支承結構載重組合
廠房之桿件及接頭,必須根據下列三種載重情況設計,每一種載重(例如:靜載重、活載重、吊重偏心、吊車橫力、風力等)産生之力量(彎矩、剪力、軸力等),先作載重組合再設計之。
第一種情況:用於反復載重下之構材設計,其應力範圍(Stress Range)之決定,係根據一部天車(連棟時只處理一棟即可)之垂直衝擊力、吊重偏心效應與50%的側向衝擊力等校核之,此情況不適用於D級廠房建築物。
第二種情況:所有的靜載重與活載重,包括屋頂活載重加一部天車(或在特別情形下具一部以上的天車)之最大側向衝擊力、一部天車之縱向拖曳(或剎車)力,加上所有的偏心效應,及下列的垂直天車載重之一:
(1)一部天車的垂直載重包括全部的衝擊力。
(2)由盡可能之多部所設置天車之垂直載重,加以排列,以使欲設計桿件產生最大應力者,惟可不考慮衝擊力。此情況可提高容許應力,不考慮疲勞之折減(此情況適用於所有等級之廠房建築物)。
第三種情況:所有的靜載重與活載重,及一部天車的衝擊力與下列所述載重之一:
(1)全部的風力,無側向衝擊力,但有一部天車排列,使其產生最大的垂直載重效應。
(2)50%的風力,加上由一輛天車所產生的最大側向衝擊力與垂直載重效應。
(3)全部的風力而無活載重或天車載重。
(4)在天車走道之一端之止動架,由一部天車產生之緩衝撞擊(Bumper Impact)效應。
(5)將所有天車之靜載重停放於每一列廠房(aisle),使其產生最大的地震效應。
本情況可適用於各級工廠建築物,容許應力允許增加1/3。
4.3 選擇天車道梁之原則:
(1)輕型吊車及短跨度:用寬翼梁。
(2)中型吊車及中跨度:用寬翼梁並以槽鋼蓋板或角鋼,補強上翼板。
(3)重型吊車及長跨度:用板梁,上翼板以桁架或實體版加強。
(4)單軌天車:I型鋼。
4.4 天車載重下之撓度限制
大梁由於活載重(不包括衝擊載重),產生之垂直允許撓度如下(L為跨距):
(1)輕型與中型吊車:L/600。
(2)鋼廠吊車:L/1000。
(3)天車道梁之側向允許撓度:L/400。
4.5衝擊載重
4.5.1垂直衝擊載重
ASCE 7定義之最大輪載重如下:由天車橋重、吊運車(吊機)重,以及額定載重等產生輪載重之總和,其中吊運車係位於產生最大輪載重處。垂直衝擊載重為最大輪載重乘以垂直衝擊載重百分比係數。ASCE 7提供之垂直衝擊載重百分比係數如下:
(1)單軌天車(動力式):25%
(2)駕駛室操作或遙控操作橋式天車(動力式) :25%
(3)懸吊按鈕操作橋式天車(動力式) :10%
(4)橋式天車或單軌天車(天車桁梁及吊運車的驅動由手動齒輪操作):0%
AISE Technical Report No.13
各種類型天車之垂直衝擊載重,規定為最大輪載重之25%,但馬達維修間之天車垂直衝擊載重,則容許採用最大輪載重之20%。
採用ASCE 7或AISE Technical Report No.13規範,柱托架(牛腿)設計,都必須考慮垂直衝擊載重。
4.5.2側推力(Side Thrust)
天車因為以下因素而產生水平力載重:鋼軌偏位、天車偏斜、吊運車加速度、吊運車煞車、天車操作。
ASCE 7採用動力式吊運車,以天車額定載重及吊運車重之總和的20%計算側推力。側推力假設水平作用在道梁上的牽引表面,方向為與天車道梁垂直的水平正、負兩向,其傳遞與道梁及支撐結構之側向勁度有關。
AISE Technical Report 13要求總側推力為以下最大值,其傳遞與鋼軌支撐結構系統的側向勁度有關:
(1)製造廠天車(Mill crane):40%;鑄造廠天車(Ladle cranes):40%;抓斗和磁吸盤天車(包括石板場與鋸木場天車):40%;鑄造廠天車(Ladle cranes):40%;抓斗和磁吸盤天車(包括石板與鋸木場天車);100%;倉儲堆高機(駕駛室操作);200%;
(2)吊重與吊運車自重之組合載重的20%,但倉儲堆高機(stacker cranes)則為吊重、滑車以及剛臂自重之組合載重的40%。
(3)吊重及天車(包括桁梁及吊運車)自重之組合載重的10%,但倉儲堆高機則為吊重及天車自重之組合載重的15%。
上述吊重定義為,由吊運車所吊起之重量,包括:吊重、吊鈎、吊梁(lifting beams)、磁盤及其他附件。
AISE Technical Report 13對遙控操作天車側推力,要求比照駕駛室操作天車。ASCE 7與AISE Technical Report 13,對【額定載重100 tf 製造廠天車(Mill Crane),其吊運車自重30 tf,天車總重80 tf】案例之天車側推力建議如下:
(1)ASCE 7(ASD):0.2(額定載重+吊運車自重)=26 tf。
(2)AISE Report No.13取下列三種情況之大値:(a)0.40(額定載重)=40tf(控制);(b)0.20(額定載重+吊運車自重)=26tf;(c)0.10(額定載重+天車總重)=18tf。
4.5.3縱向牽引力
ASCE 7規定:天車道梁之縱向牽引力,以最大天車輪載重的10%計算,作用在道梁牽引表面上,方向為平行於梁的正負兩向。ASCE 7另外排除手動齒輪操作橋式天車須要上述縱向牽引力的要求。
AISE Technical Report 13規定:縱向牽引力以最大天車輪載重的20%計算。
4.6 單跨及連續跨天車道梁
有關選用單跨或連續跨天車道梁系統的優缺點,摘要列舉如下:
1、單跨的優點
(1)針對不同的載重組合更容易設計。
(2)通常不受支點間差異沉陷的影響。
(3)損壞時更易於更換。
(4)當天車載重容量(capacity)增加時,更易於補強。
2、連續跨的優點
(1)連續跨可以減小撓度。
(2)端點的轉動量和移動量都會降低。
(3)在疲勞考量不是決定因素的情況下,能減小型鋼斷面節省成本。
假如支撐點的差異沉陷量,會造成連續天車道梁破壞時,就不要選用連續跨道梁。同時,當連續跨道梁承受疲勞載重,並且在上翼板有銲接附件(軌道夾釘)時,其允許應力差值會相當明顯地降低。
4.7H型鋼梁具槽型鋼帽蓋
為了控制側向變位及側力造成的應力,通常會使用H型鋼梁上覆槽型鋼帽蓋,惟需考量鋼材節省的量與銲接帽蓋增加的成本,是否符合經濟效益。對於輕型天車(小於5 tf)就不需要槽型鋼帽蓋。
4.8天車道梁側撐
天車道梁須側向穩定支撐系統,除可保持天車道梁之穩定外,亦可節省天車道梁之用鋼量。
4.9天車車擋(stops)
天車止動緩衝力大小,視緩衝器消能設備而定,緩衝器可以採用彈簧圈或液壓緩衝器。為抗緩衝力,須有止動裝置、支撐以及其他構件可將緩衝力傳遞至地面。天車道梁的端點部分,必須依作用在天車車擋上的縱向力做設計。彈簧型緩衝器的縱向撞擊力可依下列公式計算
其中,F=天車作用在緩衝器高程之總縱向撞擊力。
w=不含吊重的天車總重。
v=天車衝擊瞬間的指定速度,m/s (AISE Technical Report No.6要求為滿載額定速度的50%)。
et=天車衝擊能量完全被吸收的彈簧衝程,m。
g=重力加速度(9.8 m/s2)。
上述公式不能直接應用在木製或合成橡膠墊(常常出現在舊式天車)防撞塊,此類設置安裝必須依照製造商說明書或經驗。若無資料,建議採用下列兩者的較大值,做為假設的緩衝器撞擊力來設計:
牽引力(tractive force)的兩倍,或全部天車重量的10%。
有關液壓式天車緩衝器撞擊力的計算,可參考AISE Technical Report No. 13 (AISE, 2003)。
4.10天車鋼軌夾扣
有四種常用的固定裝置,用來將天車鋼軌固著在天車道梁上,分別是:鉤形螺栓、鋼軌夾、鋼軌夾鉗(rail clamp)和專利夾具。鉤形螺栓和鋼軌夾鉗的細部,在AISC鋼構造手冊裡都有圖示。
銲接(包括點銲)會明顯地大幅降低金屬疲勞壽命,所以應再仔細評估其效應後,才可使用銲接。
(1)天車鋼軌不要銲在天車道梁上。
(2)將各種配件夾緊或鎖緊在天車道梁上,以避免應力疲勞的狀況。
(3)所有修改調整或修理工作,在進行之前,都必須先送給設計單位審查並核准。
4.11天車道梁的疲勞考量
天車道梁的疲勞設計,可依據鋼結構設計規範,並參考天車廠房分類,及天車起重設備分類,進行鋼梁及其接合疲勞設計。
五、天車道梁設計步驟
起重機(廠房天車)的類別、型式及荷重狀況,均影響天車道梁設計。E類及F類特別有嚴重的疲勞狀況。對於天車道梁及梁柱接頭的設計,疲勞及天車類別是特別關鍵。
5.1載重考慮
(1)最大輪載重與輪間距。
(2)多部天車位於同一走道或相鄰走道之影響。
(3)垂直向衝擊力。
(4)剎車力及縱向衝擊力。
(5)橫向衝擊力。
(6)疲勞效應。
(7)其他
5.2影響天車道梁設計之天車特性
(1)掛釣容量(包括起重裝置在內之吊起載重)。
(2)吊車(bridge)重量。
(3)吊機(trolley)重量。
(4)吊車淨空間與掛釣高度。
(5)載重之服務類別。
(6)移動速度、加速度與剎車速度。
(7)跨度(軌道中心距,會受到屋架撓度而變動)。
(8)輪子數量與間距。
(9)最大輪載重。
(10)集電環鐵軌(或其他動力來源)之型式與位置。
(11)走道鐵軌尺寸及軌道與道梁間之偏心。
(12)緩衝裝置之受壓縮長度。
(13)緩衝裝置(止動架)距吊車鐵軌頂之高度。
5.3天車道梁設計
(1)計算滿足撓度控制所需之慣性矩(Ix與Iy),對於輕型及中型吊車,其垂直撓度宜限制在L/600以下,重型吊車則宜限制在L/1000以下。
(2)將天車之載重置於最臨界之狀況,如產生最大彎矩或最大剪力等。
(3)計算撓曲彎矩(包括衝擊效應)Mx與My。
(4)選擇斷面,須考慮無支撐長度及側向挫屈,若疲勞控制時,亦須考慮容許的應力差值(應力幅)範圍。
(5)以下式校核斷面
其中,
Mx,My=分別對鋼梁強軸及弱軸之計算撓曲彎矩(包括衝擊效應)(tf-m)。
Fbx,Fby =分別對鋼梁強軸及弱軸之容許撓曲應力(tf / cm2)
Sx =對鋼梁強軸之斷面模數 (cm3)。
Sy’=上半部斷面對y軸之斷面模數=Sy/2 (cm3)。
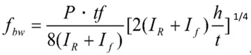
根據AISE Technical Report No. 13之規定,由於吊車車輪通過大梁之上翼版產生之局部縱向彎曲應力為:

其中,fbw=由於輪載重產生撓曲於上翼板之局部縱向應力(tf/cm2)
P=最大輪載重(tf)。
tf=上翼板厚度(cm)。
IR=鐵軌之斷面慣性矩(cm4)。
If=上翼板之慣性矩(cm4)。
h=翼板間之淨距(cm)。
t=腹板厚度(cm)。
fbw值通常在0.07~0.28t/cm2的範圍。
上翼板之頂部應力會增加此局部應力,而上翼板底部應力則會減少此局部應力值。
(6)天車道梁為避免不均勻沈陷產生額外之彎矩,一般不論實際是否為連續梁,均以簡支梁設計。
(7)軌道安裝時,常因施工精度及構架側向撓度等因素,而無法與梁腹板中心一致,而產生偏心彎矩,故天車道梁腹部宜設置加勁板,但考量疲勞效應的影響,加勁板不宜銲接於下翼板。
六.天車走道製造及安裝容許誤差(公差)
6.1天車道梁製造及安裝容許誤差,必須載明設計圖説內,容許公差規定如下。
(1)水平偏移:梁長度每15m不超過6mm。
(2)預拱:梁長度每15m,與圖上標示預拱量差異,不得超過正負6mm。
(3)方正度:梁端部45cm範圍內翼板,必須平整無彎曲,並與梁腹板保持垂直。
6.2天車道梁以及天車鋼軌的製造及安裝,必須符合下列容許誤差。
(1)天車鋼軌必須置於天車道梁中心線上。鋼軌中心與道梁中心線的最大偏心,為道梁腹板厚的3/4,此偏心會造成腹板承受額外的彎矩及天車道梁額外之扭力。
(2)天車鋼軌與道梁的安裝,必須維持在下列容許誤差內:
(a)在20℃溫度下量測,天車橋兩端鋼軌間的水平距離誤差,不得超過±6 mm。
(b)鋼軌直線的縱向每15m的水平偏移,不得超過±6 mm,且軌道總長內最大總偏移為±12mm。
(c)鋼軌直線的縱向在柱位量測的垂直向斜率,不得超過±1/250,且軌道總長內最大總高差為±12mm。
前述各項容許誤差來自AISE Technical Report No. 13。而MBMA’s Low Rise Building Systems Manual另提供有一套容許誤差建議。
七、結語
天車是工業廠房重要的設備之一,因雙軌天車位於廠房的上層位置,而且是吊運重量較大的物件,若有掉落,災損較大,甚至破壊重要生産設備,導致生産線停工。因此天車道梁設計的良窳,影響天車結構安全甚鉅。