承受軸力鋼管T型端板接頭設計例
陳正平 技師
一、前言
圓形、方形及矩形鋼管,經常用來作為鋼結構之斜撐桿件,這些桿件主要是用來承受軸向力,而斜撐桿件端部與結構構架之接頭強度,至少必須足以傳遞斜撐所承受之軸力。通常非韌性構架之斜撐桿件,常會受到桿件之挫屈強度所控制,因而所承受之軸力多小於鋼管的降伏強度。例如,細長型受壓斜撐桿件之受壓強度,即會受到挫屈強度所控制,而致接頭所需傳遞之力量會小於鋼管的降伏強度。
鋼管斜撐桿件端部接頭型式,可簡化歸納成下列三種主要類型,第一種類型為鋼板組合而成之T型端板接頭,如照片1及2所示,此種T型端板接頭可以是熱軋H型鋼裁切成之CT型鋼,或是鋼板銲接組合而成之T型鋼。T型鋼翼板與鋼管端部採連續全周填角銲道,而T型鋼腹板與結構構架上之接合板間,則是以單排或多排螺栓接合;第二種類型為接合板插入鋼管端部管壁上之槽縫並銲接,再以螺栓與結構構架上之接合板連接之接頭,如照片3所示。此種接合板插入式接頭,接合板突出的部分類似鋼管端部T型接頭之腹板;第三種為接合板揷入鋼管端部管壁上之槽縫並銲接,接合板再以銲接與結構構架接合之接頭。


矩形及方形鋼管若使用雙邊側板式接頭,採用兩塊側邊接合板來提高接頭強度。此種增加接合板數量的方式,可以有效減少剪力遲滯效應的影響,但是組裝上較單片接合板揷入鋼管式接頭困難,此外,接合板與鋼管間需要採用單斜喇叭型開槽銲道。
鋼管端部之續接,可以採用端板(封板)式對接接頭,來達到全斷面降伏強度。端板與鋼管間採全周銲道,承受拉力之螺栓均勻分布在端板周圍,並須有足夠的數量及較小的螺栓間距,使螺栓拉力可均勻傳遞至鋼管外周,以避免剪力遲滯效應的發生。在壓力載重下,力量透過鋼管周邊處之端板直接承壓均勻傳遞。
二、方形鋼管端部採用T型端板接頭設計例
本計算例係參考AISC Steel Design Guide 24“Hollow Structural Section Connections“,第五章中之方形鋼管端部採用T型端板接頭設計例,惟因該設計例諸多不合力學原理之處,筆者藉此加以修改及解說。
圖1中所示之方形鋼管端部採用T型端板接頭,分別承受軸向拉力及壓力載重,該接頭採用鋼板組合T型鋼,且採用與T型鋼腹板相同厚度之接合板。使用4顆直徑24 mm之CNS F10T承壓型接合螺栓,假設剪力面通過螺紋,及CNS E49XX(kgf/mm2)或AWS E70XX(kip/in2)系列銲材。分別求該接頭所能承擔之最大設計拉力強度及設計壓力強度。
|  | | |
| 圖1 接頭型式及各部尺寸 | | |
材料性質:
方形鋼管200×100×6:CNS STKR 490 (Fy=3.3 tf/cm2;Fu=5.0 tf/cm2)
組合T型鋼之翼板及腹板、接合板:CNS SN400YB;(Fyp=2.5 tf/cm2;Fup=4.1 tf/cm2)
構件幾何性質:方形鋼管200×100×6:
H=20 cm;B=10 cm;標稱壁厚=0.6 cm;標稱斷面積=33.6 cm2
設計壁厚t=0.6 × 0.93=0.56 cm
設計斷面積A=33.6 × 0.93 =31.2 cm2
組合T型鋼之翼板厚度:tp=2.0 cm
組合T型鋼之腹板及接合板厚度:tb=ts=1.6 cm
【解答】:
1. 鋼管管壁局部降伏對應之軸向強度(
=1.00)
承載寬檢核:方形或矩形鋼管經由端板傳遞載重之方式,可依局部降伏及局部壓皺極限狀態計算其強度。集中力消散可假設為從承壓寛度二端,各以2.5:1的斜率分散傳遞(Wardenier et al.,1991;Kitipornchai 及Traves,1989)。根據上述假設,檢核局部降伏時鋼板之有效承壓長度為(5tp+tb)。若(5tp+tb)小於管寬B,則只有二側管壁寛度內之(5tp+tb)長度為有效承壓長度;若(5tp+tb)≧B,且矩形鋼管斷面之四管壁均被涵蓋在內時,此時依AISC 360-16第K章之規定,為四管壁全周為有效承壓長度;惟考量當(5tp+tb)=B之臨界尺寸時,其有效承壓長度可能會有數倍的差距,殊不合理,依端板厚度及其勁度觀之,並無法使方形鋼管四周均達降伏極限狀態。因此本例改用Eurocode 之建議:若(5tp+tb)≧B,且矩形鋼管斷面之四管壁均被涵蓋在內時,僅能取有效承壓長度=2(7tp+tb+2w),較合乎力學原理。










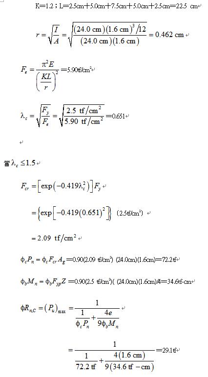
討論:本例因接合板存有偏心彎矩,致KL/r項對T型鋼腹板之挫屈強度影響不大,但若在T型鋼腹板上單側增設加勁板,則L可自最後一顆螺栓中心起算,且接合板之偏心距亦可保守減半,因此可明顯提升接合板之挫屈強度,因此建議採於T型鋼腹板上單側增設加勁板,可提高接頭之整體效益。

三、結語
本例AISC Steel Design Guide 24第五章中之方形鋼管端部採用T型端板接頭設計例中採K=1.2,惟筆者認為連接端梁柱端,為梁柱交會之接頭區,其構架或桁架之面外勁度,隨桿件斷面之形狀而改變,並非可達彎矩固定端之程度,而大部分情況是偏向鉸接,且斜撑桿件在整體構架分析模型中,其端部一般係設定為鉸接,因此實際K值會介於0.65至2.1間。鑒於斜撐接合板一旦發生挫屈,會導致整體構架或桁架倒塌,其重要性是在整體結構成敗的關鍵位置,且考量接頭之邊界條件,應與結構分析模型所假設之邊界條件一致,筆者認為K值應取2為適當。另筆者所查閱之文獻資料亦指出,斜撑構架實體試驗結果與K取2之分析結果一致。因此筆者建議本題T型鋼腹板及接合板之挫屈強度之計算中,T型鋼腹板及接合板之K值,均應保守改取2。又若於T型鋼腹板單側增設加勁板,除可降底有效長度外,亦可減少接合板之偏心距,因而可大輻提高接頭之整體效益。