|  |    技師報於85年11月18日土木日創刊 新聞局出版事業登記證局版省報字第48號 | |||
| 
 | 廣告專線 :(02)8961-3968轉142 傳真:(02)2964-1159,2963-4076 地址:新北市板橋區三民路二段37號A3 網址:http://www.twce.org.tw E-mail:mail@twce.org.tw | NO. | ||
| 
 | ||||
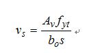
| 「擴頭釘型剪力鋼筋」應用介紹 陳正平 技師 一、 前言 「擴頭釘型剪力鋼筋 (headed shear stud reinforcement)」與一般常用之剪力釘相似,惟其擴頭與頸部之斷面積比例至少為10倍,比起一般剪力釘之擴頭與頸部之斷面積比例約為2.5至4倍,大出很多,且擴頭釘型剪力鋼筋之長度較一般剪力釘長很多 (見圖1至圖3)。鋼筋混凝土雙向平版結構,在版與柱接頭處,當未配置剪力鋼筋狀況下的貫穿剪力標稱強度不足,而有柱頭貫穿剪力破壞之疑慮時,就必須採增加版厚,或增設剪力筋,或增設柱冠,或增設剪力柱頭版來補強貫穿剪力。柱頭貫穿剪力補強一般常的方法有:1.配置單肢或多肢肋筋剪力鋼筋,二端以耐震標準彎鉤緊繞過上、下層主筋;2.配置平版剪力柱頭型鋼;3.配置擴頭釘型剪力鋼筋 (見圖4)。其中,配置單肢或多肢肋筋剪力鋼筋方式,對版上端尚可以鐵絲將剪力鋼筋綁紮固定於上層版筋,但在版厚較大或版筋較密時,剪力鋼筋下端就沒有足夠的綁紮作業空間。因此採用「擴頭釘型剪力鋼筋」便是可行的方案。 二、「擴頭釘型剪力鋼筋」規格 擴頭釘型剪力鋼筋是一種具有單獨一根或多根之擴頭剪力釘型裝置之剪力鋼筋,剪力釘之兩端以擴頭板錨定;或是一端採擴頭板,另一端以鋼板或型鋼組成之共用基軌作為錨定 (見圖2、圖4及圖6),亦可與“J”形彎鉤或“ㄇ”形肋筋搭配使用。擴頭釘型剪力鋼筋及其組件,須符合ASTM A1044。擴頭釘型剪力鋼筋之擴頭端形狀,不同於AWS D1.1第7節之擴頭剪力釘 (圖1)。AWS D1.1擴頭剪力釘頭與頸部之斷面積比例約為2.5至4倍。相對地,ASTM A1044要求,擴頭釘型剪力鋼筋之擴頭與頸部之斷面積比例至少為10倍。因此AWS D1.1擴頭釘不適用作為擴頭釘型剪力鋼筋。擴頭釘型剪力鋼筋若有一端使用基軌,作為剪力鋼筋端部之錨定時,ASTM A1044規定基軌材料之寛度與厚度,需使足以分別錨定10mm、13mm、16mm與19mm釘桿直徑,且使用狀態下不能有達到降伏之狀況。ASTM A1044之擴頭釘型剪力鋼筋之最低規定降伏強度為3.58 tf/cm2。擴頭釘型剪力鋼筋之頭部及基軌之混凝土保護層厚度,應至少符合該構材對鋼筋保護層之要求,擴頭釘型剪力鋼筋之混凝土保護層厚度需求如圖2示意圖所示。 三、「擴頭釘型剪力鋼筋」之力學行為 「擴頭釘型剪力鋼筋」,在ACI 318 - 2008年版次,開始被引進入美國混凝土學會之混凝土結構設計規範(ACI 318)中。擴頭釘型剪力鋼筋,係以機械方式錨定,垂直平版方向配置之一種剪力鋼筋。擴頭釘型剪力鋼筋能提供雙向剪力強度,可作為平版結構柱頭貫穿剪力雙向補強用途。擴頭釘型剪力鋼筋經實驗證實(ACI 421),其擴頭端部若能儘量接近平版頂面及底面設置,並以機械式錨定時,能有效提升平版之雙向貫穿剪力強度。惟剪力鋼筋周線間之特定間距,經試驗驗證(ACI 421.1R),剪力釘之釘頭淨間距須有足夠淨距,以便供配置樓版之撓曲鋼筋。在剪力鋼筋以外之臨界斷面,一般假設為多邊形(如圖6所示),在此等斷面的剪應力計算式,可參考Joint ACI-ASCE Committee 421 (2008) 之報告,在臨界斷面豎向擴頭釘型剪力鋼筋所提供之剪力強度,以臨界斷面之平均值表示。平版柱頭需作柱頭貫穿剪力鋼筋補強而未施作,致產生貫穿剪力破壞之案例,照片見圖5所示。 擴頭釘型剪力鋼筋,與一般梁所用之二端具彎鉤之單肢肋筋剪力鋼筋比較,擴頭釘型剪力鋼筋之滑動量較小,剪力裂縫寬度也較小。因此,可提高擴頭釘型剪力鋼筋之剪力強度之上限值,因而可提高擴頭釘型剪力鋼筋群外周連線上之配置間距,可供平版撓曲鋼筋配置作業較容易。平版結構在柱頭之雙向剪力臨界面,係由一深度d乘以及假設臨界周長bo的斷面來承受。其臨界斷面應位於使其周界bo為最小處,但其與下列標示位置之距離不必小於d/2。 1.柱、集中載重或反力處之邊緣或轉角連線。 2.版厚度改變處,如柱頭版或柱冠邊緣。 若擴頭釘型剪力鋼筋之布設及其幾何形狀,符合圖6之配置方式,擴頭釘型剪力鋼筋可作為版及基腳的剪力鋼筋。使用擴頭剪力釘組件作為版中剪力鋼筋之補強時,針對特別應用須指明釘柄直徑、剪力釘間距及組件高度。試驗(ACI 421.1R)證實垂直剪力釘,儘可能地靠近版頂部及底部機械式錨定,則能有效地抵抗穿孔剪力。為達此目的,擴頭釘型剪力鋼筋須配置於特定高度範圍,並提供其高度合理之容許公差。典型的擴頭剪力釘配置方式,如圖6所示。 擴頭釘型剪力鋼筋之位置及間距應依下列規定:   使用擴頭剪力釘組件作為版中剪力鋼筋時,針對特別應用須指明釘桿直徑、剪力釘間距及組件高度。ACI 421.1R提供計算這種斷面之剪應力公式。 配置擴頭剪力釘型之剪力鋼筋的雙向構材,其vs應依下式計算:   式中Av為沿著幾何類似柱斷面周長線上s距離內之擴頭釘型剪力鋼筋斷面積總和,s為剪力鋼筋在垂直柱面方向的間距。 若配置擴頭釘型剪力鋼筋時,Av/s應符合下式:   若平版上開孔之位置在柱列帶時,則規定之臨界斷面應修正如下: 1.若版中無剪力柱頭時,臨界斷面在柱、載重區、反力區中心引至開孔兩側射線範圍內視為無效。 2.若版中有剪力柱頭時,則前項所規定之無效部分減半。 擴頭釘型剪力鋼筋,得以垂直版面或基腳面方式設置於版或基腳內部,此擴頭剪力釘組件全高,應至少為版厚扣除(a)至(c)之總和:(a)頂層撓曲鋼筋上之混凝土保護層;(b)在基軌下之混凝土保護層;(c)撓曲拉力鋼筋之1/2直徑。 當抗拉撓曲鋼筋位於版底面時,如基腳之情況,剪力釘裝置之總高度,不得小於版厚剪去下列尺寸之總和:(a)底層撓曲鋼筋之混凝土保護層;(b)剪力釘擴頭頂部之混凝土保護層;和(c)底層抗拉撓曲鋼筋直徑之1/2直徑。 若因重力載重、風力、地震力或其他側向力,引起構件與柱間彎矩之傳遞時,其所引起之剪力偏心現象,須於設計柱頭剪力時考慮之。 四、結語 「擴頭釘型剪力鋼筋」是新近才納入ACI 318規範,適用於平版構材柱頭之剪力加強鋼筋。擴頭釘型剪力鋼筋,採用雙擴頭或一端採用基軌作為錨定措施,其錨定效果遠比竹節鋼筋之標準彎鉤,或閉合剪力箍筋之90度轉角錨定為佳,產生之滑動量較小,剪力裂縫寬度也較小,尤其是施工性更佳。因此,可提高擴頭釘型剪力鋼筋之剪力強度之上限值,減少剪力鋼筋的用量,亦可提高擴頭釘型剪力鋼筋群外周連線上之配置間距,因而可供平版撓曲鋼筋配置有較大作業空間,綁紮作業較容易,亦有減少施工工期的潛在效益。惟初期尚未被工程師接納採用前,有可能成本較高,不易被普遍採用,「擴頭釘型剪力鋼筋」可提高安全性、施工快速容易。筆者認為,採用「擴頭釘型剪力鋼筋」所得到之整體效益,可明顯高於其他工法,惟須提醒讀者注意的是,平版與柱間有接頭彎矩之傳遞需求時,其所引起之剪力偏心現象,須於設計柱頭剪力時加以考慮,以防疏漏,造成傳力路徑中斷或產生結構安全性之弱點。「擴頭釘型剪力鋼筋」,因國外之試驗資料有發生破壞的案例[3],國內現行結構混凝土設計規範不擬納入,惟筆者認為既然其力學行為較一般剪力鋼筋佳,剩下的是設計的正確性,建議增加「擴頭釘型剪力鋼筋」之配置密度(可配合需求量減小擴頭釘型剪力鋼筋直徑),使剪力作用方向維持d/2,垂直剪力作用方向維持在 d 以下。只要設計得當,均布配置即可發揮最佳效果,因此筆者認為規範修訂團隊不擬納入“現行結構混凝土設計規範”,甚為可惜。   圖1 擴頭剪力釘示意圖 
   圖2 擴頭釘型剪力鋼筋混凝土保護層示意圖 
   圖3 二端擴頭釘型剪力鋼筋[1] 
   圖4 擴頭釘型剪力鋼筋配置例[1]   圖5 柱頭貫穿剪力破壞之案例 
   
 圖6 典型擴頭剪力釘鋼筋配置及臨界斷面 
 參考資料 [1] “Brook Forgings Industrial Catalogue“ (2016). Brooks Forging Limited型錄。 [2] “結構混凝土建築規範及解說(ACI 318-14)”( 2014)。ACI 318委員會。 [3]“Tests Show Premature Failure of Shear-Stud Reinforcement”(2011).Engineering News-Record(ENR). | 
|  Top |  Back |